Aryan Rahimieh

Data Scientist | Machine Learning | Applied Research

Aryan Rahimieh profile photo

I am a Data Scientist with a background in computational physics, machine learning, and large-scale data analysis. My work spans applied modeling in industry and research in AI and cosmology, with experience building practical, data-driven solutions across scientific and business domains.

Current Role
Data Scientist at Farmers Insurance
Background
PhD in Computational Physics, MS in Computer Science
USC logo USC logo USC logo
Focus Areas
ML, large-scale analytics, scientific modeling
Profile

About

A concise overview of my background, interests, and technical direction.

Background

I hold a PhD in Computational Physics and a Master's degree in Computer Science. I enjoy working on machine learning, statistical modeling, large-scale data pipelines, and research problems that connect theory with real-world impact.

Interests

I am especially interested in data science, machine learning engineering, and research-driven roles where I can combine technical depth with practical decision-making.

Work

Experience

Recent industry and research experience across applied analytics and scientific computing.
Data Scientist
Farmers Insurance logo
2025 - Present

Member of the Auto R&D team developing modeling infrastructure and analytics workflows supporting state-of-the-art telematics products. I work on large-scale data pipelines and machine learning systems used to improve driver scoring, pricing insights, and experimentation across auto insurance applications.

Data Science Intern
Travelers logo
2024

Worked on telematics analytics within the Auto R&D team, supporting modeling workflows using large-scale GPS driving data. Contributed to developing spatial analysis pipelines for understanding regional driving patterns and improving experimentation around telematics-based scoring systems.

Researcher
USC logo USC Cosmology Lab logo
2019 - 2025

Conducted research within the CosmoLab at USC on statistical modeling and simulation of the 21-cm signal as a probe of early-universe physics. Led the development of forecasting pipelines to study dark matter–baryon interactions and related cosmological models as first author on multiple peer-reviewed publications, combining theory, numerical simulation, and large-scale inference methods.

Highlights

Selected Projects

A few examples spanning research, NLP, and industry-facing analytics.
Research Project

21-cm Cosmology and Dark Matter Forecasting

Developed forecasting methods to study the sensitivity of the global 21-cm signal and 21-cm power spectrum to dark matter baryon interactions.

NLP Project

Open-Domain Conversational QA with Topic Switching

Led a project on modeling GPT-based systems for conversational question answering while preserving topic switching behavior across dialogue turns.

Research

Publications

Selected work in cosmology and 21-cm forecasting.
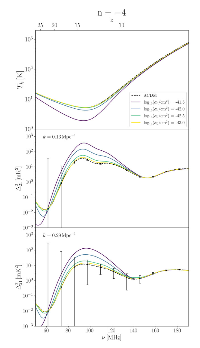
JCAP

Sensitivity of the Global 21-cm Signal to Dark Matter–Baryon Scattering

Improved global 21-cm signal sensitivity forecasts for interacting dark matter models using Fisher-information-based parameter constraints.

Figure 1 from Sensitivity of the Global 21-cm Signal to Dark Matter–Baryon Scattering Figure 2 from Sensitivity of the Global 21-cm Signal to Dark Matter–Baryon Scattering
MNRAS

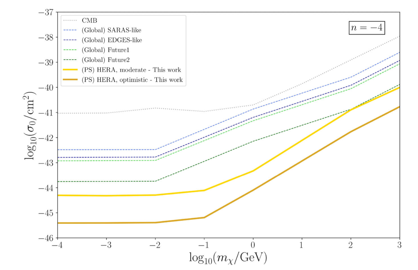
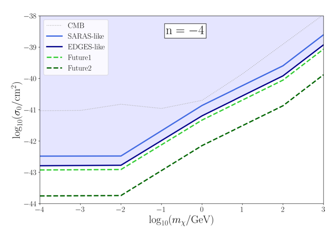
Forecasting 21-cm Power Spectrum Sensitivity to Dark Matter–Baryon Scattering

Forecasted sensitivity of future 21-cm power spectrum experiments to dark matter–baryon scattering cross sections using simulation-driven Fisher analyses.

Figure 1 from Forecasting 21-cm Power Spectrum Sensitivity to Dark Matter–Baryon Scattering Figure 2 from Forecasting 21-cm Power Spectrum Sensitivity to Dark Matter–Baryon Scattering
Toolkit

Skills

Core tools and domains I work with most often.
Python
SQL
PySpark
AWS
Databricks
Snowflake
NLP
Big Data Pipelines
Connect

Contact

Open to conversations about data science, machine learning, and research.

The best way to reach me is by email at aryanrahimieh@gmail.com.

You can also find me on LinkedIn, GitHub, and Google Scholar.